
June 20-22, Webster Community Field House
Empire State Postal History Challenge - UN First Day "Int. Year of Freshwater"
Exhibits Layout (PDF) *** Floor Plan (PDF) *** Show Program (PDF) *** Awards Palmares *** Photos (auto-run)
Committee
|
Thomas M. Fortunato- Show Chairman, Publicity, Exhibits Manager George Fekete- Show Vice Chairman, Bourse Co-Manager, Show Program Editor, Treasurer John Cali- Meeting Manager Joe Doles- Staging Manager, Flyer Manager, Cancel & Cachet Designer Herman Gross- Youth Activities Co-Manager Mary Iman- Youth Activities Assistant Rick Kase- Cachet Sales Manager Ed Kawasaki- Bourse Co-Manager, Advertising Manager |
Jim Piecuch- Youth Activities Co-Manager Ada M. Prill- Stamp Saturday Coordinator, Exhibits Assistant Manager Chuck Schultz- Hospitality Table Manager, Volunteers Coordinator Bob and Elli Steeb- Facilities Technical Consultants Rich Spinelli- Dime Stamps Manager Raymond Stone- Awards Manager Ann Triggle- Judging Manager Frank Tritto- Pre-Show Assistant |
Judges
Guy R. Dillaway, Chairman, Weston, MA
Lois M. Evans-de Violini, Oxnard, CA
Albert Guenzburger, Guilford, NY
Peter K. Iber, Peoria, AZ
Stephen L. Suffet, Sunnyside, NY
Exhibits
-Title page
- Plan page
- Synopsis page
* denotes participants in Royal 2003 Royale/ROPEX joint exhibiting option
| Exhibitor Name # frames, Division |
Exhibit Title | Description |
| John W. Allen* 6 frames, Postal |
Momotombos: The First Airmail Definitives of Nicaragua |
This exhibit studies the stamps and postal history of the first airmail definitives of Nicaragua. |
| John W. Allen* Single frame, Postal |
The 3 Cent Liberty Postal Card of 1958 |
This exhibit studies the production varieties and postal history of the 3 cent Liberty postal card of 1958. |
| Alan Anderson 4 frames, Thematic |
Swords on Stamps |
The history of swords seen through stamps, cancels and meters, divided into time frames: Ancient, Myths and Legends, Medieval, Exploration, Revolution, Modern and symbols. |
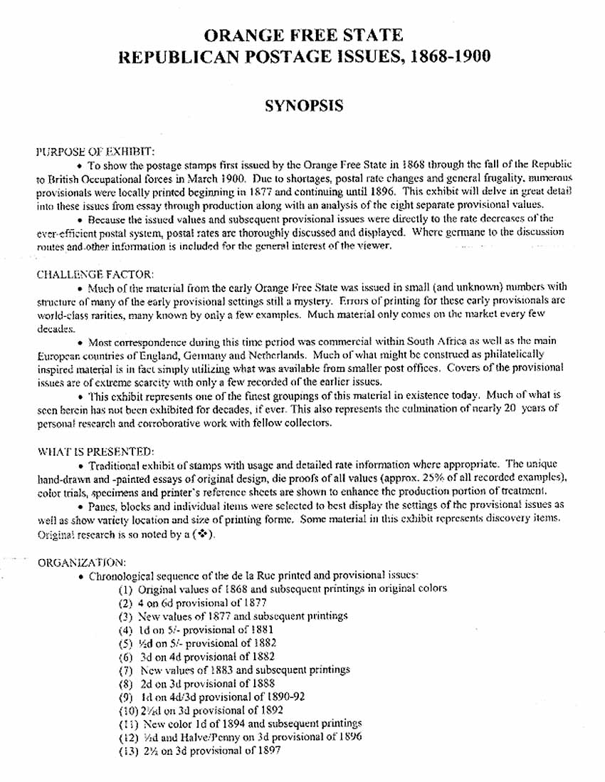
| R. Timothy Bartshe* 8 frames, Postal |
Orange Free State Republican Postage Issues 1868-1900 |
A detailed and comprehensive display of issues from essays through production along with eight separate provisional values. |
| William H. Bauer 10 frames, Postal |
Otsego County, NY |
A presentation of many aspects of US postal history, using mail from a single county and including nearly all the post offices of that county. |
| Louis T. Call 5 frames, Postal |
Examples of Early NY State Postmarks Used by Railroad Route Agents, Railroad Postal Clerks, and Station Agents, 1830's-1880's |
Route agent, postal clerk and station agent markings used within, from and to New York State covering the first 50 years of railroad postal operations. |
| Doug and Nancy Z. Clark Single Frame, Postal |
Maine Way Mail |
Mail picked up on the way from one office to another by a contract mail carrier in Maine, traveling by horse, stage or boat. |
| George Cosentini* 8 frames, Postal |
V-Mail |
The origins and development of V-Mail during World War II. |
| Richard Cropp 3 frames, Postal |
Mt. Momotombo, Nicaragua 1900-1905 |
An exhibit displaying the adhesive stamps of Nicaragua from 1900-1905 depicting the Mt. Momotombo volcano. |
| Richard Daffner 9 frames, Postal |
The Foreign Mail Issue of Mexico 1879-1883 |
The stamps, postal cards, and postal history of the issues created to facilitate domestically Mexico's integration with the rates of the UPU. |
| Jack Andre Denys 5 frames, Thematic |
Bayeux Tapestry- Story, Mystery, History |
The world's oldest existing wallhanging: Its story of the Battle of Hastings, mystery of its making, and history of its surviving 900+ years. |
| Frank Garancovsky 2 frames, Postal |
Czechoslovakia 1st Issues: Complete Plating 100h Hradcany, Plate II |
Postally used 100 positions including multiples, associated parcel clippings and covers using various postal services. |
| Peter G. Gleason 7 frames, Postal |
The 1920-1923 Air Post Issues of Estonia |
Displays the 1920 5 marka stanp and its overprints; includes stamps, varieties, plate flaws, Paevaleht (Aeronaut/Teetsov) and private perforations, forgeries, and usages. |
| George T. Guzzio 10 frames, Postal |
Germany: The Wagner Semi-Postal Issue of 1933- Specialized |
A representative traditional study of the Wagner semi-postal issue of Germany 1933. |
| Galen D. Harrison 10 frames, Postal |
Prisoners' Mail from the American Civil War 1861-1865 |
An in-depth study of both Southern and Northern Civil War prison mail. Over 108 different prisons and routings are shown, including many "only known" examples. |
| William J. Hart Single frame, Postal |
New York State RFD Hand Cancels |
Government issue and private hand cancellations are used to illustrate the many facets of RFD service in early 20th century New York State. |
| William H. Hatton 10 frames, Cinderella |
The Sincerest Flatter- Non-Philatelic Imitations of Stamps, Covers, and Associated Items |
Accurate reproductions and fanciful designs of stamps, envelopes and other items involved in moving the mail intended to attract attention for many different reasons. |
| Regis Hoffman 5 frames, Display |
Letters to the Stars |
This exhibit traces silent era to modern day fan mail to Hollywood movie stars in a unique blend of postal, social, and entertainment history. |
| Alice Johnson 2 frames, Postal |
Meterly Speaking - Let's Eat |
A feast for the eyes, this is a non-smoking, alcohol-free exhibit of food on meters. |
| Alice Johnson 4 frames, Thematic |
A Multitude of Angels |
A thematic look at angels, their origins, myth and legend through the millennia. |
| Igor Kuchuk 2 frames, Postal |
Airship LZ-127 "Graf Zeppelin" Mail 1928-1937 |
A philatelic look at the ten year history of the Graf Zeppelin airship, including European, American, and South American flights. |
| Alfred F. Kugel* 10 frames, Postal |
The Expansion of Greece 1897-1922 |
The story of the growth of the Greek kingdom from the Cretan uprising through the Greco-Turkish War of 1919-1922 |
| Robert E. Lana 7 frames, Postal |
Italian Classics: Kingdom of Sardinia, 1851-1863 |
The Cavalini and the essays, proofs, and printings of the four issues of the Kingdom of Sardinia are shown. |
| Kurt W. Laubinger 5 frames, Illustrated Mail |
The Politically Inspired Cachets of Bruce R. McIntyre, 1936-60 |
Hand-drawn and hand-painted cachets of political events by Bruce R. McIntryre, an active Art Cover Exchange (ACE) member of the period. All are unique. |
| Paul A. Larsen* 7 frames, Postal |
Federal Issues of the Leeward Islands 1890-1911 |
Essays, proofs, the definitive stamps and a selection of postal stationery from the reigns of Queen Victoria and King Edward VII, including many commercial usages. |
| Howard Lee* Single frame, Postal |
Usages of the 8 Cent Grant - U.S. 4th Bureau Issue |
A one frame exhibit highlighting the postal history of this 8 cent definitive stamp first issued on May 1, 1923. |
| Howard Lee* Single frame, Postal |
Usages of the 11 Cent Hayes - U.S. 4th Bureau Issue |
A one frame exhibit highlighting the postal history of this 11 cent definitive stamp first issued on October 4, 1922. |
| Martin Margolis 5 frames, Postal |
The Airship in the Americas |
An examination of the Graf Zeppelin, Hindenburg, and various US airship flights throughout North and South America. |
| Martin Margolis 5 frames, Postal |
19th Century Ship Mail Through New York City |
A review of mail which traveled through New York City's trans-Atlantic sea routes in the 19th century, mostly to and from Europe. |
| Randall Martin Single frame, Postal |
New Brunswick Pre-Confederation Stamped Mail 1851-1868 |
New Brunswick organized by rate period, rates, and destination. |
| Randall Martin Single frame, Postal |
Nova Scotia Pre-Confederation Stamped Mail 1851-1868 |
Nova Scotia organized by rate period, rates, and destination. |
| Randall Martin Single frame, Postal |
Prince Edward Island Pre-Confederation Stamped Mail 1861-1873 |
Prince Edward Island organized by rate period, rates, and destination. |
| Randall Martin 8 frames, Postal |
Newfoundland Surface Mail |
Newfoundland organized by destination and rate period showing letter and multiple letter rates, registration fees, short paid and postage due fees through various philatelic items. |
| Robert Meegan 7 frames, Postal |
United States Domestic Letter Rates, 1825 to 1900 |
A study of the domestic postal letter rates from 1825 to 1900. |
| Theresa Meegan 3 frames, Youth- Thematic (age 18) |
Foxes |
The beautiful fox in nature and fables. |
| Walter J. Orton III 2 frames, Display |
Pioneer Telegraph Companies of the Northeast Showing Covers and/or Telegraphs |
Before being absorbed by Western Union, several independent telegraph companies in the north-east operated and produced their own telegrams to move messages. |
| Walter J. Orton III 5 frames, Revenue |
Proprietary "Battleship" Revenue Stamps of 1898 And Their Precancel Varieties |
An in-depth exhibit of these tax stamps which funded the Spanish-American War and were used on packages of medicines, perfumes, cosmetics and other products. |
| Mary Ann A. Owens Single frame, Thematic (non-competitive) |
The Badger | The Badger as an animal, an anthropomorphic, and as a symbol. |
| Mary Ann A. Owens 3 frames, Display |
Those Other Elephants |
Fauna, flora, geological formations, products, etc. with 'elephant like' names because of same or similar sizes, shapes or attributes. |
| Mary Ann A. Owens 5 frames, Thematic |
Lady Beetle, Lady Bird, Lady Bug |
The simple and lovable beetle with many names around the world; welcomed for its beneficial factors; have become symbols and are remembered in the arts. |
| Al Parsons Single frame, Postal |
19th Century Railroad Postal Markings Related to Steuben, Schuyler, Chemung and Tioga Counties, NY |
This exhibit traces the growth of railway mail service in four Southern Tier New York counties during the 19th century. |
| John Price, MD 5 frames, Display |
Selections of Long Island Postal History |
The philately of Kings, Queens, Nassau and Suffolk counties of Long Island, showing a variety of stampless and stamped covers along with early picture postcards. |
| Marge Schleining 2 frames, Postal |
Getting Around: Planes, Trains, Cars and Motorcycles |
A brief look at vehicles celebrating anniversaries this year. |
| Howard H. Schloss 8 frames, Illustrated Mail |
The New York World's Fair 1939-1940 |
Domestic and foreign first day covers and stamps including Sarabia flown cover and Portuguese Colonies overprint covers. |
| Don Schurr 3 frames, Postal |
Spanish Postal History: A selection from 1850-1880 |
A variety of selected covers trace the development of the Spanish postal system during its first 30 years. |
| Arnold H. Selengut 10 frames, (Court of Honor, non-competitive) |
150 Years of US Precancels |
A survey of US local and bureau precancels from the pioneer through the present, emphasizing unusual usages, precancel postal history and collecting specialties. |
| Ray Stone Single Frame, Illustrated Mail |
A Transportation Coil FDC Tale |
A mailbag gone astray is found floating in a canal. Where did it come from? What's inside? Take a look and see what happens next! |
| Ray Stone 10 frames, Illustrated Mail |
Planes, Trains and Automobiles- Transportation Coil FDCs | A first day cover exhibit of the 1981-95 US Transportation coil issues dealing with planes, trains, and automobiles. |
| Ann Triggle Single frame, Display |
Clarence, NY | A display exhibit, which shows the postal history of Clarence Township from 1813 to 1944, using representative markings and pictures. |
| Ann Triggle Single frame, Postal (non-competitive) |
The Pharmacy Stamp of 1972 | A FDC exhibit, which shows the announcement of the stamp, the various festivities, stamps and cacheted covers |
| Warren S. Wilkinson 9 frames, Postal |
British Columbia and Vancouver Island Postal History: 1858-1871 |
An exhaustive chronological study of rates, routes and postal markings during the Colonial period as well as selected post-Confederation usages. |
| William Woytowich 5 frames, Display |
The Evolution of Postage Currency: Fractional Notes and Encased Postage |
This exhibit follows the financial crisis of 1861-62 through the disappearance of coinage and its replacement with various forms of postage stamp based currency. |
Dealers
| Dave Allego Table 18 |
648 Merchant St, Ambridge, PA 15003 |
(724) 266-4237 allego1@attbi.com |
Worldwide covers, cinderellas, ephemera |
| Ed Bailey, Philatelist Table 7 |
PO Box 2338, Syracuse NY 13220 |
(315) 452-0593 |
US, UN, worldwide stamps |
| Tom Baron Table 31 |
PO Box 1339, Long Branch, NY 11561 |
(516) 763-9205 tomcovers@aol.com |
US and worldwide covers |
| Bejjco Inc Table 26 |
PO Box 16681 Temple Terrace, FL 37687 |
(813) 980-0734 arnsel@worldnet.att.net |
US and worldwide stamps and covers, US BOB and precancels |
| Biddle Philatelic Company Table 16 |
55 Whitehall Ave Buffalo, NY 14220 |
(716) 828-1375 blbiddle@aol.com |
Worldwide stamps, covers, cinderellas, postcards |
| Britannia Enterprises Table 1 |
PO Box 2114 Orleans, MA 02653 |
(508) 240-0799 meadbritannia@aol.com |
Worldwide covers, cinderellas, ephemera |
| Cleveland Stamp Company Table 9 |
PO Box 46421 Cleveland, OH 44146 |
(216) 581-2346 loris8@aol.com |
US stamps and covers, topicals, postcards, ephemera |
| Ray Coughlin Table 2 |
639 Sycamore Spgs Cir Mountain Home, AR 72653 |
coughlin@raylcoughlin.com |
US & Posessions- stamps and covers |
| Discovery Stamps Table 40 |
PO Box 2502 Syracuse, NY 13220 |
(315) 652-5517 jjamm48@aol.com |
US stamps and booklets |
| D&M Philatelics Table 35 |
630 East 43rd St Erie, PA 16504 |
(814) 825-8779 | Classic US mint/used and worldwide stamps |
| East-West Philatelics Table 19 |
PO Box 961 Pelham, NY 10803 |
(914) 668-6623 eastwest@bestweb.net |
Worldwide stamps, topicals |
| Family Hobby and Stamp Inc. Table 25 |
PO Box 938 Columbia Station, OH 44028 |
(440) 236-3454 dba@alltel.net |
US and worldwide stamps, supplies |
| Finger Lakes International Table 6 |
PO Box 5 Shortsville, NY 14548 |
(585) 289-6395 flstamps@rochester.rr.com |
Switzerland, Germany- stamps and covers |
| The Folded Letter Table 23 |
PO Box 176 Lafayette Hill, PA 19444 |
(610) 828-8631 thefoldedletter@earthlink.net http://www.thefoldedletter.com/ |
Advertising/foreign zeppelin covers, antique stamp boxes, ephemera |
| J. Roger Gratz Table 36 |
PO Box 611 Carlisle, PA 17013-0611 |
(717) 243-7630 jgratz9149@aol.com |
US, British Pacific, Australia and States stamps |
| Al Greco Stamps Table 17 |
1190 Nolan Rd Macedon, NY 14502 |
(315) 986-7948 agreco@agopen.com |
US and worldwide stamps, covers, and postcards |
| Hampshire Stamps Table 29 |
PO Box 423 Milford, NH 03055-0423 |
(603) 673-7180 hstamps@jlc.net |
US, British Empire and worldwide- stamps and covers |
| William H. Hatton Table 32 |
PO Box 622 Piqua, OH 45356-0622 |
(937) 778-9206 |
US stamps and covers, postcards, literature |
| HWH Stamp Co Table 11+12 |
8522 Hawk Run Ter Gaithersburg, MD 20886 |
(301) 216-1882 herbhus@ioip.com |
US and worldwide stamps, covers and postcards |
| Judaica Stamps Table 21 |
PO Box 55 St Martin Laval, PQ H7V 3P4 Canada |
(450) 687-0632 info@judaicasales.com |
Israel stamps and covers, Judaica, topicals (inc. Disney) |
| Lakewood Stamps Table 37 |
1656 W 40th St Erie, PA 16509 |
(814) 866-0352 res106@aol.com |
US and topical new issue stamps (inc. Disney, WWF) |
| Maurice J. Landry Table 4 |
PO Box 1112 Enfield, CT 06083 |
(860) 741-6065 mjlandry1@cox.net |
US covers (Patriotics and navals), FDCs, topicals |
| Steve Malack Stamps Table 5 |
PO Box 5628 Endicott, NY 13763 |
(607) 862-9441 malackweb@aol.com |
US stamps |
| Mark-Lane Stamps Table 33 |
PO Box 626 West Haverstraw, NY 10993 |
(845) 362-5330 rws45@aol.com |
US & BOB, Canada & semi-airs, worldwide stamps |
| McLeod Stamp Company Table 14 |
2423 Monroe Ave Rochester, NY 14618 |
(585) 244-0240 jkellas3@rochester.infi.net |
US and worldwide stamps, supplies |
| John Nunes Table 13 |
80 Fredericks Rd Scotia, NY 12302 |
(518) 399-8395 nunesnook@aol.com |
US and worldwide covers, ephemera |
| OH-TN Covers Table 39 |
PO Box 24 Greebtown, OH 44630 |
(330) 499-3625 clazaroff@yahoo.com |
US covers (Patriotics and navals), FDCs, topicals |
| Pack-Rat Covers Table 24 |
PO Box 512 Oshtemo, MI 49077 |
(269) 375-6188 |
US covers (military, naval, topicals), FDCs, 25 cent boxes |
| Phantom Stamps, Coins & Supplies Table 27 |
PO Box 395 Manchester, NY 14504 |
(585) 289-9365 sawyer2pid@juno.com |
Worldwide stamps |
| Plate Block Etc. Table 8 |
PO Box 2552 Fory Myers Beach, FL 33932 |
(239) 463-5820 plateblocketc@yahoo.com |
US stamps, plate blocks and covers |
| George Papandreou Stamps Table 34 |
213 Strysko Ave Mahwah, NJ 07430 |
(201) 512-1966 gpapand@aol.com |
US and worldwide stamps |
| Les Rosen Table 15 |
7724 Matchwood Ln Liverpool, NY 13090 |
(315) 652-9635 fdcsrfun@aol.com |
US and worldwide FDCs, stamps |
| John L. Rudnicki Table 41 |
25 Deforest Dr Brampton, ON L7A 2Y1 Canada |
(905) 495-0603 mj.rudnicki@utoronto.ca |
Poland and Germany stamps, topicals |
| Robert C Swed Table 28 |
1204 Elderon Dr Wilmington, DE 19808 |
(302) 994-6086 |
US used stamps and covers, classic FDCs |
| Toga Associates Table 30 |
Box 396 Fairfield, CT 06430 |
(203) 255-8885 tbansak@aol.com |
British Empire and worldwide stamps |
| Wallace Stamps Table 20 |
PO Box 82 Port Washington, NY 11050 |
(516) 883-5578 |
US, UN, worldwide stamps |
| Whit's Covers Table 38 |
34 Red Cedar Ln Shelburne, VT 05482 |
(802) 985-8519 whits@sover.net |
US plate blocks, first days/event covers, misc. |
| White Light Studio Table 3 |
756 Lake Rd Ontario, NY 14519 |
(315) 524-8912 |
Philatelic artwork |
| Laurence L Winum Table 22 |
PO Box 247 Walden, NY 12586 |
(800) 914-8090 winum@frontiernet.net |
US and Germany, stamps and covers |
| Worldwide Stamp Company Table 10 |
97 Fairhaven Dr Cheektowaga, NY 14225 |
(716) 633-9663 worldwidestampco@aol.com |
Worldwide stamps, covers, postcards |
Covers